Volumen 5 / No. 12 / Mayo-agosto 2022

https://doi.org/10.33996/revistaneque.v5i12.80

ISSN: 2631-2883

Páginas 278 - 295

 

 

 

Incidencia de la responsabilidad social corporativa en el desarrollo económico. Caso: Sector cooperativo financiero del segmento cuatro

 

Incidence of corporate social responsibility in economic development. Case: Of segment four financial cooperative sector

 

Incidência da responsabilidade social empresarial no desenvolvimento económico. Caso: Do setor cooperativo financeiro do segmento quatro

 

 

Carina Alexandra Muyulema-Allaica

karina-muyulema94@hotmail.com

https://orcid.org/0000-0003-3397-615X

 

Pontificia Universidad Católica del Ecuador Sede Ambato, Ambato-Ecuador

 

Juan Carlos Muyulema-Allaica

jmuyulema@upse.edu.ec

https://orcid.org/0000-0002-9663-8935

 

Universidad Estatal Península de Santa Elena, La Libertad-Ecuador

 

Roberto Bernardo Usca-Veloz

rusca@ueb.edu.ec

https://orcid.org/0000-0001-6600-052X

 

Universidad Estatal de Bolívar, Guaranda-Ecuador

 

Ricardo Javier Rodríguez-Alzamora

rjrodriguez@upse.edu.ec

https://orcid.org/0000-0001-8382-6622

 

Universidad Estatal Península de Santa Elena, La Libertad-Ecuador

 

Artículo recibido el 5 de marzo 2022 / Arbitrado el 1 de abril 2022 / Publicado el 19 de mayo de 2022

 

RESUMEN

La responsabilidad social corporativa (RSC) es una tendencia empresarial relativamente moderna, que ha sintetizado y normalizado pautas de conducta preexistentes en el entorno de los negocios, las cuales, están relacionadas al entorno económico, social y ambiental. El objetivo del estudio fue analizar la incidencia de la RSC en el desarrollo económico del sector cooperativo financiero del segmento cuatro de la provincia de Chimborazo - Ecuador. La estrategia metodológica recayó sobre un método cuantitativo, con la finalidad aplicada práctica e interpretación de los datos a través del alcance descriptivo-correlacional. La técnica de recolección de datos (lista de chequeo), se basó en el Modelo de Balance Social desarrollado por la Superintendencia de Economía Popular y Solidaria a partir del año 2013. La investigación permitió conocer datos relevantes sobre la aplicación de la RSC en el sector cooperativo. Se concluye que, las entidades financieras ejecutan acciones socialmente responsables y no informan adecuadamente.

 

Palabras clave: Desarrollo económico; responsabilidad social corporativa; sector cooperativo; balance social

 

ABSTRACT

Corporate Social Responsibility (CSR) is a relatively modern business trend, which has synthesized and normalized pre-existing behavior patterns in the business environment, which are related to the economic, social and environmental environment. The objective of the study was to analyze the incidence of CSR in the economic development of the financial cooperative sector of segment four of the province of Chimborazo - Ecuador. The methodological strategy relied on a quantitative method, with the practical applied purpose and interpretation of the data through the descriptive-correlational scope. The data collection technique (checklist) was based on the Social Balance Model developed by the Superintendence of Popular and Solidarity Economy from the year 2013. The research allowed to know relevant data on the application of CSR in the sector. cooperative. It is concluded that financial entities execute socially responsible actions and do not report adequately.

 

Key words: Economic development; corporate social responsibility; cooperative sector; social balance

 

RESUMO

A Responsabilidade Social Corporativa (RSC) é uma tendência empresarial relativamente moderna, que sintetizou e normalizou padrões de comportamento pré-existentes no ambiente empresarial, relacionados ao ambiente econômico, social e ambiental. O objetivo do estudo foi analisar a incidência da RSE no desenvolvimento econômico do setor cooperativo financeiro do segmento quatro da província de Chimborazo - Equador. A estratégia metodológica contou com um método quantitativo, com finalidade prática aplicada e interpretação dos dados no âmbito descritivo-correlacional. A técnica de coleta de dados (checklist) foi baseada no Modelo de Balanço Social desenvolvido pela Superintendência de Economia Popular e Solidária a partir do ano de 2013. A pesquisa permitiu conhecer dados relevantes sobre a aplicação da RSE no setor cooperativo. Conclui-se que as entidades financeiras executam ações socialmente responsáveis ​​e não reportam adequadamente.

 

Palavras-Chave: Desenvolvimento econômico; responsabilidade social empresarial; setor cooperativo; balanço social

 

 

INTRODUCCIÓN

Hoy en día, las empresas a nivel mundial muestran un mayor interés por la aplicación de prácticas de Responsabilidad Social Corporativa (RSC), con el fin de obtener un mayor desarrollo económico (DE), así como mantener una buena relación con los grupos de interés y generar bienestar social y ambiental, por tal motivo, la aplicación de políticas medioambientales y la disposición de un código de conducta ético y aplicable a la empresa ha permitido una evidente reducción de costos que puede mejorar la resiliencia de las empresas en las crisis financieras (Pache-Durán y Nevado-Gil, 2020).

 

En tal sentido, el empleo de prácticas sobre RSC constituye un nuevo modelo empresarial que evoluciona de manera gradual y que se ha implantado en las organizaciones que buscan mejorar su relación con los stakeholders (Pache-Durán y Nevado-Gil, 2020). Del mismo modo, en Latinoamérica, la RSC se encuentra en un proceso de análisis y desarrollo, es una consideración secundaria en las empresas de esta región, sin embargo, es un tema que atrae cada vez más el interés de los inversionistas (Castaño y Arias, 2021).

 

En el contexto ecuatoriano, el sector cooperativo financiero representa el segundo lugar de participación de mercado en el sistema financiero del 22,6%, por lo tanto, el estado y la Superintendencia de Economía Popular y Solidaria (SEPS), tienen como finalidad supervisar que las Cooperativas de Ahorro y Crédito (COAC´s) cumplan con su rol social (Caja Central Financoop, 2019). Este sector, está constituido por organizaciones cuya acción se fundamenta en principios y valores, por ello, suponen ser empresas sostenibles y participativas que evolucionan y se adaptan a los cambios que dependen en mayor medida de iniciativas voluntarias (Muyulema-Allaica, 2022). Dichas iniciativas se relacionan con la presentación del balance social, que involucra las acciones socialmente responsables ejecutadas por las cooperativas que motiven las decisiones de inversión, con el debido respeto a los criterios éticos, sociales y ambientales (Iturrioz et al., 2019).

 

En este contexto general, donde la RSC no deja de evolucionar, la investigación académica en relación con el tema también ha evolucionado y ha abarcado una amplia variedad de temas que incluyen decisiones financieras, comportamiento del consumidor y ética empresarial (Zhang et al., 2022). Este argumento podría explicar, en parte, los resultados mixtos mostrados en la literatura con respecto a la asociación entre RSC y DE. En tanto, el problema central radica en que la RSC en las COAC´s pertenecientes al segmento cuatro de la provincia de Chimborazo, es un tema tratado en segundo plano que recae en la filantropía y el cuidado del medio ambiente, por lo que, aun el ámbito de la RSC, no se encuentra enraizado a los valores, principios y objetivos institucionales, lo que evidencia la resistencia al cambio y carencia de convencimiento en cuanto a su utilidad.

 

Bajo esta premisa, el objetivo se centra en analizar la incidencia de la RSC en el DE del sector cooperativo financiero del segmento cuatro en Chimborazo, Ecuador. De acuerdo con los antecedentes analizados, se justifica la investigación, porque constituye un aporte fundamental al sector cooperativo financiero del Ecuador en términos teóricos y prácticos, así como, mediante el planteamiento de estrategias basadas en principios sociales, económicos y ambientales.

 

MÉTODO

Para la realización de la presente investigación, fue indispensable conocer a fondo sobre la RSC y aspectos básicos del DE dentro de las COAC´s de la provincia de Chimborazo, Ecuador y así demostrar la incidencia de la variable independiente sobre la dependiente. En este sentido, el estudio considera que el paradigma, enfoque y estrategia metodológica recae sobre el método cuantitativo, con la finalidad aplicada práctica, de tal manera que la interpretación de los datos analizados se realizó a través del alcance descriptivo-correlacional, lo que permitió que éstos sean manejados sin intromisión alguna. El enfoque cuantitativo fue aplicado mediante las mediciones numéricas que tratan de cuantificar, reportar y medir lo que sucede, para posteriormente facilitar información sobre una realidad que se puede explicar y predecir mediante la aplicación de la estadística.

 

En consecuencia, la investigación correlacional permitió determinar el grado de asociación entre las variables, en este caso RSC (variable independiente) y DE (variable dependiente), además, se trabajó con datos de tipo ordinal porque sus categorías están ordenadas por rango y cada clase posee una misma relación posicional con la siguiente, bajo los siguientes parámetros de respuestas: C=Cumple; CP=Cumple Parcialmente; NC= No Cumple. Asimismo, respecto a la pertinencia de los datos, la investigación presentó un diseño transversal, que se efectuó mediante la investigación documental y de campo. Así también, la información presentada se extrajo mediante técnicas de recolección de datos como: observación y lista de chequeo, las cuales, se ejecutaron a través de los instrumentos denominados guía de observación y cuestionario del checklist.

 

La población de estudio estuvo compuesta por 10 COAC´S del segmento cuatro de la provincia de Chimborazo, de acuerdo con la segmentación determinada por la Junta de Política y Regulación Monetaria y Financiera (2019) son organizaciones que mantienen en sus activos un valor mayor a 1'000.000,00 hasta 5'000.000,00 de dólares. Entonces, al ser una población finita se trabajó con todas las unidades a modo de censo (ver Tabla 1).

 

Tabla 1. Población de estudio.

 

Cooperativa de Ahorro y Crédito

Cantones

Frecuencia

%

1

SUMAC LLACTA LTDA

Riobamba

6

60%

2

CAMARA DE COMERCIO DE RIOBAMBA LTDA

3

EMPRESA ELECTRICA RIOBAMBA

4

ACCION Y DESARROLLO LTDA

5

DE LA MICROEMPRESA DE CHIMBORAZO LTDA

6

PRODUCCION AHORRO INVERSION SERVICIO PAIS LTDA

7

GUAMOTE LTDA

Guamote

1

10%

8

DIVINO NIÑO

Cumandá

1

10%

9

CHUNCHI LTDA

Chunchi

1

10%

10

NIZAG LTDA

Alausí

1

10%

 

Total

 

10

100%

Nota: Adaptado de Superintendencia de Economía Popular y Solidaria (2021).

 

Finalmente, las técnicas de procesamiento de la información recolectada se sustentaron en el programa estadístico SPSS 25 y hojas de cálculo de Excel.

 

RESULTADOS Y DISCUSIÓN

La estrategia metodológica de investigación, así como las técnicas e instrumentos de recolección de datos, permitieron obtener los resultados del estudio, enmarcados en el cumplimiento del objetivo planteado y con miras a proponer soluciones a manera de alternativas estratégicas ante el problema detectado. Los resultados para el análisis de la RSC y el DE en el sector cooperativo financiero del segmento cuatro en Chimborazo, Ecuador, se obtuvieron mediante la aplicación de una lista de chequeo con tres parámetros de respuesta en base a una escala de Likert (C, CP Y NC).

 

Por una parte, los ítems sobre RSC se plantearon con base en el Modelo de Balance Social Cooperativo Integral (MBSCI) elaborado por la SEPS, el mismo que, dentro de las 7 macro dimensiones aborda los 7 principios de la Alianza Cooperativa Internacional (ACI, 2022), 8 principios de la Ley Orgánica de Economía Popular y Solidaria (LOEPS, 2018) y 10 principios del buen vivir (Senplades, 2017). Dichos principios, están estrechamente relacionados con la ejecución de acciones socialmente responsables, que en su conjunto constituyen una herramienta de la gestión socioeconómica que facilita a las cooperativas la medición y rendición de cuentas a los stakeholders o grupos de interés, que se han visto afectados por el accionar de la entidad.

 

De manera similar, los ítems considerados para verificar el DE se elaboraron en base a los las metas presentadas por el Objetivo de Desarrollo Sostenible N° 8.- Promover el crecimiento económico sostenido, inclusivo y sostenible, el empleo pleno y productivo en el trabajo decente para todos, dada la relación existente entre las COAC´s y el cumplimiento de la Agenda 2030 hacia una década Cooperativa, además, se tomó en consideración la memoria de sostenibilidad de la Cooperativa de Ahorro y Crédito Cooprogreso, correspondiente al año 2019, la cual, mediante la presentación de su balance social, indica los factores a ser considerados para identificar la existencia del DE dentro de una entidad financiera.

 

La Tabla 2, muestra las respuestas obtenidas una vez que se aplicó la lista de chequeo a los 10 representantes de las COAC´s, a través de 50 ítems clasificados por cada una de las macrodimensiones y dimensiones, así también, sobre el DE. Como resultado se concluye que, la condición “Cumple” equivalente al 75% del total de respuestas sobre la variable independiente y dependiente es la que mayor número abarca, seguida por la condición “Cumple Parcialmente” que representa un 19% y “No Cumple” el 6%, en otras palabras, se puede afirmar que las COAC´s estudiadas cumplen en gran medida con un comportamiento socialmente responsable en términos económicos, sociales y ambientales, las cuales, permiten a las organizaciones lograr un DE que también recae sobre la condición cumple, con 118 respuestas afirmativas sobre los criterios o indicadores de desarrollo dentro de las cooperativas.

 

Tabla 2. Lista de chequeo del nivel de cumplimiento de RSC y su relación con el DE.

 

Indicadores

C

C/P

NC

Total

RSC (Variable independiente)

MD 1.- Prelación del trabajo sobre el capital y de los intereses colectivos sobre los individuales.

D1.- Prelación del trabajo sobre el capital

82

29

9

120

D2.- Prelación de los intereses colectivos sobre los individuales

21

4

5

30

Subtotal (MD1)

103

33

14

150

MD 2.- Asociación voluntaria, equitativa y respeto a la identidad cultural

D1.- Accesibilidad asociativa y cooperativa

10

0

0

10

D2.- Retiro de asociados

9

1

0

10

Subtotal (MD2)

19

1

0

20

MD 3.- Autogestión y autonomía

D1.- Acceso a cargos institucionales

8

2

0

10

D2.- Control democrático por los asociados

10

0

0

10

D3.- Transparencia informativa

8

2

0

10

D4.- Acuerdos con otras organizaciones externas a la EPS y SFPS

5

4

1

10

D5.- Relación con el estado

7

3

0

10

D6.- Estructura del patrimonio

8

2

0

10

D7.- Equilibrio real de poder entre asociados

7

3

0

10

Subtotal (MD3)

53

16

1

70

MD 4.- Participación económica, solidaria y distribución equitativa de utilidades o excedentes.

D1.- Concentración de aportes sociales

10

0

0

10

D2.- Utilización de utilidades o excedentes

10

0

0

10

D3.- Valor agregado cooperativo

10

0

0

10

Subtotal (MD4)

30

0

0

30

MD 5.- Educación, capacitación y comunicación.

D1.- Desarrollo de las capacidades de los actores relacionados a la organización

5

3

2

10

D2.- Promoción de la EPS

10

0

0

10

Subtotal (proceso MD5)

15

3

2

20

MD 6.- Cooperación e integración del sector económico popular y solidario.

D1.- Inter cooperación

10

0

0

10

D2.- Integración sectorial

9

0

1

10

Subtotal (proceso MD6)

19

0

1

20

MD 7.- Compromiso social, solidario, comunitario y ambiental

D1.- Comercio justo

5

3

2

10

D2.- Comunidad

5

0

5

10

D3.- Medio ambiente

6

3

1

10

Subtotal (proceso MD7)

16

6

8

30

Desarrollo Económico (Variable dependiente)

Subtotal (variable dependiente)

118

38

4

160

TOTAL

373

97

30

500

Valoración porcentual

75%

19%

6%

100%

Nota: Modelo de Balance Social desarrollado por la Superintendencia de Economía Popular y Solidaria (2018).

 

De ello resulta necesario admitir que, las COAC´s objeto de estudio practican la RSC, sin embargo, no elaboran sus informes mediante la presentación del balance social. Según la Ley Orgánica de Economía Popular y Solidaria (LOEPS, 2018) en la disposición general segunda indica que, las organizaciones sujetas a la ley deberán incluir en sus informes de gestión el balance social, el cual, acredita el nivel de cumplimiento de los principios y objetivos sociales, relacionados al desarrollo social, comunitario, impacto ambiental, cultural y educativo.

 

En esta misma línea, según Becerra-Vicario y Gómez (2020) la RSC en las empresas financieras es de gran relevancia, pero no es de aplicación obligatoria, sin embargo, estas organizaciones ponen en práctica acciones socialmente responsables y no informan sobre las mismas. A este respecto, Ayala del Pino (2021) añade que, la RSC considera que una empresa socialmente responsable es aquella que lleva adelante un negocio rentable, por ello, no solo es importante que sus productos lleguen, sino que lleven consigo una buena imagen asociada. Ante tal análisis, es fundamental que las entidades financieras presente su balance social a los grupos de interés con el fin de manifestar la responsabilidad asumida por la ejecución de las actividades y el impacto que estas generan en la sociedad.

 

La práctica y teoría analizadas han demostrado que la RSC guarda una estrecha relación con el DE sobre la entidad financiera, por ende, a nivel estadístico se procede a identificar el contraste existente entre las variables de investigación, que en el primer caso corresponde a la variable independiente, misma que se utilizó para describir o medir los factores que se supone son la causa o influyen en el problema, y la variable dependiente que es utilizada para describir o medir el problema, se analiza dicha relación en base al Checklist del cumplimiento de los puntos de la Norma ISO 9001: 2015, la cual, plantea un pensamiento basado en riegos y que persigue la satisfacción de las necesidades (ISO, 2015).

 

En tanto, una vez recolectada la información se aplicó la técnica de análisis de varianza (ANOVA) también conocida como análisis factorial y desarrollada por Fisher en 1930, constituye la herramienta básica para el estudio del efecto de uno o más factores (cada uno con dos o más niveles) sobre la media de una variable continua. Así pues, el modelo de diseño por bloques aleatorizados completos (DBCA) estudia la influencia de un factor tratamiento (Ta) con (I) niveles en una variable de interés en presencia de una variable extraña. Cuando el modelo se utiliza con eficacia, el cuadrado medio del error en la tabla ANOVA se reduce, y la probabilidad de rechazar la hipótesis nula y aceptar la hipótesis alternativa.

 

En consecuencia, se determinó el contraste entre las variables, mediante el planteamiento de la hipótesis de la investigación. El planteamiento tiene dos opciones, la primera una hipótesis nula que refute o niegue lo que afirma la hipótesis de investigación, mientras que, la hipótesis alternativa plantea posibilidades opcionales ante la hipótesis de investigación y nula (Hernández Sampieri y Mendoza Torres, 2018) .

 

Planteamiento de hipótesis

 

Hipótesis alternativa Ha

La RSC SI incide en el DE del sector cooperativo financiero del segmento cuatro de la provincia de Chimborazo.

 

Hipótesis nula Ho

La RSC NO incide en el DE del sector cooperativo financiero del segmento cuatro de la provincia de Chimborazo.

 

Verificación de hipótesis

La prueba ANOVA, permitió descubrir si los resultados de una prueba son significativos, es decir, si estos permiten establecer si es preciso rechazar la hipótesis nula o aceptar la hipótesis alternativa. El modelo DBCA, permitió determinar el contraste de la variable independiente (Responsabilidad Social Corporativa - RSC) con respecto a la variable dependiente (Desarrollo económico - DE), tomando como:

Tratamientos. - los ítems de implementación requeridos son: MD 1.- Prelación del trabajo sobre el capital y de los intereses colectivos sobre los individuales; hasta MD 7.- Compromiso social, solidario, comunitario y ambiental; en contraste con el Desarrollo Económico.

 

Bloques. - las opciones de respuesta son C (Cumplimiento) CP (Cumplimiento Parcial) y NC (No Cumplimiento).

 

Regla de decisión

Se acepta la hipótesis nula si el valor de Fisher calculado (Fc) es igual o menor a Fisher tabulado (FT).

 

Se acepta la hipótesis alternativa si el valor de Fisher calculado (Fc) es igual o mayor a Fisher tabulado (FT).

 

En un DBCA se presenta el siguiente modelo estadístico:

 

 

Donde: µ: Media global; ri: Efecto del tratamiento;Bj: Efecto del bloque; Eij: Efecto del error i-èsimo (ij)

 

El método estadístico de comprobación de hipótesis ANOVA o análisis de varianza, bajo un DBCA, se resume en la siguiente tabla:

 

Tabla 3. Método estadístico ANOVA mediante DBCA.

Nota: Ecuaciones tomadas de Montgomery (2004).

 

Las fórmulas para el respectivo cálculo de suma de cuadrados y cuadrado medio se muestran a continuación:

 

Suma de cuadrados del tratamiento

 

Tabla 4. Matriz general de contingencias de la evaluación – Lista de chequeo RSC.

 

No.

Ítems

C

CP

NC

TOTAL

1

MD 1.- Prelación del trabajo sobre el capital y de los intereses colectivos sobre los individuales.

103.00

33.00

14.00

150.00

2

MD 2.- Asociación voluntaria, equitativa y respeto a la identidad cultural

19.00

1.00

0.00

20.00

3

MD 3.- Autogestión y autonomía

53.00

16.00

1.00

70.00

4

MD 4.- Participación económica, solidaria y distribución equitativa de utilidades o excedentes.

30.00

0.00

0.00

30.00

5

MD 5.- Educación, capacitación y comunicación.

15.00

3.00

2.00

20.00

6

MD 6.- Cooperación e integración del sector económico popular y solidario.

19.00

0.00

1.00

20.00

7

MD 7.- Compromiso social, solidario, comunitario y ambiental

16.00

6.00

8.00

30.00

8

Desarrollo Económico

118.00

38.00

4.00

160.00

 

TOTAL

373.00

97.00

30.00

500.00

 

Nota: Datos referidos de la Tabla 2.

 

 

Sumatoria de los cuadrados totales

 

Sumatoria de los cuadrados de los tratamientos

 

 

Sumatoria de los cuadrados de los bloques

Sumatoria de los cuadrados del error

Los resultados del análisis de suma de cuadrados y cuadrados medios para determinar el F0, o FCalculado se resumen en la siguiente tabla:

 

Tabla 5. ANOVA de la determinación de Fo calculado.

 

Fuente de variación

Suma de cuadrados

Grados de libertad

Cuadrado medio (MS)

F0

F0 Critico

Tratamientos

8,250.00

7.00

1,178.57

3.03

2.764

Bloque

8,263.08

2.00

4,131.54

 

 

Error

5,438.25

14.00

388.45

 

 

Total

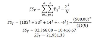
21,951.33

23.00

 

 

 

Nota: Datos referidos de la Tabla 3 y 4.

 

El F de tabla se determina con los grados de libertad del tratamiento y del error respectivamente, identificados en la tabla de puntos proporcionales de la distribución F, el mismo que asciende 2,764.

 

Si F calculado   Fc = 3.03 < F de la tabla F t = 2,764, se acepta la Hipótesis nula (H0) y se rechaza la Hipótesis alternativa (H1)

 

Si F calculado Fc = 3.03 > F de la tabla F t = 2,764, se rechaza la Hipótesis nula (H0) y se acepta la Hipótesis alternativa (H1)

 

En virtud de los resultados observados en el cuadro anterior, el valor del estadístico F-Fisher calculado es mayor que el F-Fisher de la tabla, por lo cual cae en la zona de rechazo de la Hipótesis nula (H0), por lo que se procede a aceptar Hipótesis alternativa (H1), la cual indica que: “La RSC SI incide en el DE del sector cooperativo financiero del segmento cuatro de la provincia de Chimborazo”, contrastando de esta forma la hipótesis de estudio o de partida.

 

Discusión

 

La RSC en sus inicios se consideraba como una acción enfocada en la “caridad de las empresas”, incluyendo cierto paternalismo hacia la sociedad por parte de los empresarios, posteriormente, a partir de los noventa hasta la actualidad se entiende como aquel conjunto de compromisos y obligaciones legales y éticas, nacionales e internacionales que contrae la empresa con los grupos de interés y que se derivan de los impactos que produce la actividad empresarial en los aspectos económicos, sociales y ambientales (Ayala del Pino, 2021). Lo cual apunta a la conclusión de que, la RSC implica aquel comportamiento que adopta la empresa con el fin de generar bienestar y mejorar la calidad de vida de los grupos de interés.

 

De la misma manera, el DE se relaciona con el volumen de los activos y el nivel de beneficios obtenidos, los cuales están directa y positivamente entrelazados con el cumplimiento de la RSC (Becerra-Vicario y Gómez, 2020). En el sistema financiero, se tiene claro que, al ser una organización basada en principios y valores cooperativos, no solamente se busca el lucro, sino que parte de los excedentes generados sirvan para impulsar el DE, social y ambiental del territorio (Pacompia y Calderon, 2021). En tanto, al generar empleo, invertir capital, adquirir bienes y hacer negocios de manera diaria, las empresas tienen una profunda y positiva influencia en la sociedad, por ende, tienen el potencial de generar DE, mediante actuaciones responsables y un comportamiento ético que priorice al ser humano sobre el capital (Bom-Camargo, 2021).

 

Estudios previos como los de Barba-Bayas y Gavilánez-Vega, (2016); Coba-Molina et al., (2019); Cardoso, (2019); Sánchez-Macías et al., (2020) y González-Bustos et al., (2020) en las COAC´S de Ecuador han realizado análisis en torno a las macro dimensiones y dimensiones del Modelo de Balance Social Cooperativo Integral presentado por la SEPS, con el fin de demostrar la vinculación existente entre la RSC y DE, como sigue a continuación: En la investigación de Sánchez-Macías et al., (2020) se expone la esencia de una prelación del trabajo sobre el capital y de los intereses colectivos sobre los individuales, en su estudio se evidencia que se ha incrementado en un 25.45% la capacidad operativa al aplicar practicas colaborativas y de liderazgo que han resultado que el personal sea capaz de satisfacer sus necesidades sociales e individuales.

 

Bajo este contexto, los datos son reveladores, puesto que, de acuerdo con los resultados obtenidos, de las 15 interrogantes MD1, que totalizan 150 (100%) respuestas, 103 (68.66%) corresponden a la condición “Cumple”; 33 (22.00%) a “Cumple Parcialmente” y 14 (9.34%) “No Cumple”. Lo que evidencia que en las COAC´s en su gran mayoría cumplen con la búsqueda del bien colectivo, se prioriza al ser humano y el alcance de una vida digna por sobre le capital.

 

En la investigación de Coba-Molina et al., (2019) se realiza un análisis sobre la macro dimensión referente a la asociación voluntaria, equitativa y respeto a la identidad cultural en las cooperativas de ahorro y crédito, donde se concluye que, ésta se vincula con los principios de la ACI y LOEPS, además enfatiza la importancia de la aplicación de los principios cooperativos en las instituciones financieras, puesto que, permiten obtener beneficios sociales, económicos y financieros. Este dato corrobora lo arrojado por la investigación, respecto a la MD 2, que comprende a la asociación voluntaria, equitativa y respeto a la identidad cultural, se tuvo que el 95% de las COAC´s objeto de estudio están dentro de la condición “Cumple”, entonces, se evidencia que cumplen en su mayoría con el respeto a la asociación voluntaria y abierta, así como el retiro de socios.

 

Por otro lado, Coba-Molina et al., (2019) resalta de su investigación que, la autogestión y autonomía de las COAC´s se relaciona con la calidad de los servicios de la banca virtual, call center, salud, comunicación, eficiencia y prestigio, esto indica que, las cooperativas al prestar sus servicios crediticios de acuerdo con las necesidades de los socios generan confianza en las operaciones financieras y de esta manera buenos resultados patrimoniales. En atención a esto, la MD 3 relacionada a la autogestión y autonomía, resalta que la condición de “Cumple”, alcanza un 75.71% de las afirmaciones que resaltan la importancia al cumplimiento sobre potencial el proceso ejecutivo, a una forma autónoma, y el interés de hacer uso de cualquier método, habilidad y estrategia a través de las cuales los partícipes de una actividad guiarán el logro de los objetivos comunes.

 

En el estudio realizado por González-Bustos et al., (2020) exponen como resultado de su investigación que, la participación económica, solidaria y distribución equitativa de utilidades o excedentes son mecanismos democráticos en la participación del capital económico, lo que involucra una distribución de los excedentes de manera igualitaria entre los miembros, bajo la consideración de que los deberes y derechos de los socios son iguales. Estos datos soportan el hallazgo significativo en la investigación dentro del componente MD 4 que trata sobre la participación económica, solidaria y distribución equitativa de utilidades o excedentes; donde se detectó que está dentro de la condición “Cumple”, en su totalidad (100%), lo cual indica que las COAC´s mantienen una participación económica y solidaria equitativa, mediante mecanismos democráticos en la participación del capital económico.

 

Los datos más reveladores de la aplicación del modelo RSC coexistieron en la existencia de un desconocimiento acentuado de las metodologías de gestión social (incluso de la SEPS, referenciada en los resultados de aplicación piloto) en especial en los segmentos 3 y 4, que no capacitan a su Talento Humano al respecto, pese a que la Ley dispone que la RSC será aplicada por las COAC´s, para evidenciar el impacto social y financiero de sus acciones en el entorno (Barba-Bayas y Gavilánez-Vega, 2016). Estos datos son corroborados por la investigación presente puesto que, los resultados obtenidos sobre la MD5, evidencia que la condición “Cumple” abarca un 75% de afirmaciones sobre la exigencia en capacitación, por lo tanto, las COAC´S evaluadas están conscientes sobre la gestión en educación, capacitación al personal.

 

En el estudio de Cardoso, (2019) se resalta que la cooperación entre cooperativas es un principio fundamental para el desarrollo del sector, principio que se activará sobre todo en los procesos de fusión, con manifestaciones de solidaridad y apoyo recíproco. En atención a esto, el MD 6 que recoge el 95% COAC´S evaluadas exponen la condición “Cumple”. Por tal motivo, estas organizaciones cumplen con las disposiciones de cooperación e integración del sector popular y solidario, puesto que su modo de operación es a través de un trabajo de manera conjunta por medio de estructuras locales de cooperación.

 

Sánchez-Macías et al., (2020) mencionan que, las COAC´s desarrollarán actividades con compromiso social, solidario, comunitario y ambiental, donde se promueve el comercio justo, ético y responsable que promuevan el bienestar de sus miembros, la comunidad y las generaciones futuras. En consecuencia, una vez obtenidos los resultados de la RSC en las COAC´S del segmento cuatro de la provincia de Chimborazo y en específico en la macro dimensión MD7, se evidencia que la condición “Cumple” abarca un 53.33% afirmaciones de cumplimiento en los ítems evaluados. Por tal razón, se concluye que las COAC´s cumplen en su mayoría con el compromiso social, solidario, comunitario y ambiental.

 

De acuerdo con los resultados obtenidos, las condicionantes que indican la existencia de DE dentro de las COAC´S están dentro de la opción de respuesta “Cumple”, alcanza un 73.75%, lo que permite exponer que, las COAC´S del segmento cuatro de la provincia de Chimborazo tienen un papel primordial en la economía social de la provincia y el Ecuador, son agentes de DE con impacto social.

 

Lo expuesto durante el análisis de la incidencia de la RSC en el DE, permite verificar la falta de actividades concretas para llevar a cabo acciones socialmente responsables que permitan la presentación del balance social a los grupos de interés, por ello, fue fundamental establecer estrategias basadas en principios económicos, sociales ambientales, que sirvan de guía en la labor diaria de las COAC´s. (Ver tabla 6)

 

Tabla 6. Estrategias elaboras en función de los resultados alcanzados.

 

Aspecto

Aspecto específico

Alternativas estratégicas

MD 1. Prelación del trabajo sobre el capital y de los intereses colectivos sobre los individuales.

Prelación del trabajo sobre el capital

   Generar créditos accesibles de estudios.

   Efectuar convenios en programas de becas y pasantías en las organizaciones.

   Fomentar al empleo mediante capital semilla a universitarios y jóvenes.

   Impulsar a la generación de innovación mediante nuevas tecnologías e información.

Prelación de los intereses colectivos sobre los individuales

   Implantación de programas de educación financiera.

   Generar centros de microcréditos y emprendimiento mediante programas innovadores.

   Apoyar al arte y la cultura mediante auspicios.

MD 2. Asociación voluntaria, equitativa y respeto a la identidad cultural

Accesibilidad asociativa y cooperativa

   Implementación de programas que refuercen la convergencia para una accesibilidad asociativa.

   Establecer por escrito delineamientos de políticas de igualdad y las estrategias para la equidad de género.

Retiro de asociados

   Existencia de canales de denuncias para colaboradores.

   Gestionar el riesgo en cada una de las coberturas que dispone la organización.

   Establecer procedimientos para retiro de socios, sin afectación de sus recursos.

MD 3.- Autogestión y autonomía

Acceso a cargos institucionales

   Analizar y evaluar que el consejo sea equitativo y renovado.

   Especificar profesiogramas estandarizados sobre los perfiles requirentes en cada puesto de trabajo.

Control democrático por los asociados

   Estimar de forma cuantitativa el cumplimiento de normativa interna que cumplirá el consejo de administración y el de vigilancia.

Transparencia informativa

   Establecer canales de diálogo para mantener relaciones con sus socios, de manera que se considere su situación y ubicación geográfica.

Acuerdos con otras organizaciones externas a la EPS y SFPS

   Gestionar alianzas con entidades publico probadas a fin de generar nuevos vínculos comerciales y de desarrollo.

Relación con el estado

   Estimar de forma cuantitativa el uso de los recursos asignados y la importancia de su ejecución.

Estructura del patrimonio

   Divulgar el balance contable de la entidad, con el fin de tomar acciones correctivas y preventivas de su situación al corte del análisis.

Equilibrio real de poder entre asociados

   Establecer de forma escrita las políticas de selección y evaluación de proveedores.

MD 4. Participación económica, solidaria y distribución equitativa de utilidades o excedentes.

Concentración de aportes sociales

   Generar confianza en las operaciones activas de crédito y concentración de aportes sociales y captaciones, realizadas con un mismo asociado o grupo.

Utilización de utilidades o excedentes

   Generar confianza a los clientes y sociedad, a fin de generar credibilidad.

Valor agregado cooperativo

   Derecho a elegir y ser elegido.

   Vinculación y participación.

   Capacidad de financiar energías renovables o invertir en proyectos de eficiencia energética.

MD 5. Educación, capacitación y comunicación.

Desarrollo de las capacidades de los actores relacionados a la organización

   Generar estabilidad laboral.

   Capacitar al personal o colaboradores a fin de desempeñar de manera adecuada sus actividades.

   Generar equilibrio de género al contratar colaboradores en la entidad.

   Generar políticas corporativas enmarcadas al respeto del ser humano y el aporte a la entidad.

Promoción de la EPS

   Hacer partícipe a los colaboradores en actividades que requiera la comunidad, con el fin de ayudar a los demás.

MD 6.- Cooperación e integración del sector económico popular y solidario.

Inter cooperación

   Ampliar los servicios de intermediación financieras con el fin de efectuar operaciones eficientes con entidades de la SFPS.

Integración sectorial

   Fomentar prácticas de reciprocidad entre entidades del sector que permitan optimizar procesos financieros.

MD 7. Compromiso social, solidario, comunitario y ambiental

Comercio justo

   Aplicación de los principios de precio justo en cuanto a sostenibilidad del sector.

   Medición del riesgo social y ambiental de manera empresarial.

Comunidad

   Transparencia de los procesos de uso de los fondos destinados a compromiso con la comunidad.

   Identificar los riesgos existentes en los procesos de manera automática.

   Establecer medidas para gestionar los riesgos de sostenibilidad.

Medio ambiente

   Medición de la huella ambiental, además de ejecutar plan de ahorro energético.

   Concientización y formación sobre la huella ambiental a través de un portal.

   Lucha contra el cambio climático

Desarrollo Económico

Clientes: calidad y satisfacción

   Ampliación y evolución del modelo corporativo con nuevas herramientas.

   Resolver conflictos a fin de mejorar la atención al cliente.

   Capacitaciones corporativas en términos de práctica y gestión del conocimiento.

   Planes corporativos de educación financiera.

   Accesibilidad a la innovación en el desarrollo de productos y servicios.

Productos y servicios

   Establecer soluciones financieras enfocadas a minimizar la crisis, que permitan el apoyo a las Pymes y a las comunidades.

   Generación de microcréditos hacia los emprendedores.

   Otorgación de créditos que incentiven a la protección del medio ambiente.

   La inversión socialmente responsable realizada a los diferentes sectores supere el 25 % del patrimonio total gestionado.

Nota: Estrategias cooperativas.

 

 

CONCLUSIONES

La Responsabilidad Social Corporativa demanda de acciones de carácter voluntario, en beneficio de los grupos de interés ya sean estos internos o externos, sin embargo, la normativa ecuatoriana establece la obligatoriedad en la presentación del balance social por parte de las Cooperativas de Ahorro y Crédito, lo cual, provoca que dichas organizaciones empleen recursos económicos, tecnológicos y talento humano, con el fin de dar a conocer las acciones socialmente responsables ejecutadas, sin duda, se genera una inversión que no todas las COAC´s están dispuestas a realizar, dado el desconocimiento sobre el beneficio económico que se obtendrá. En consecuencia, mediante la comprobación de hipótesis se comprobó que, la Responsabilidad Social Corporativa si incide en el desarrollo económico de las Cooperativas de Ahorro y Crédito (COAC´s) del segmento cuatro de la provincia de Chimborazo, Ecuador, dicha incidencia es causada por la ejecución actividades de RSC y la repercusión que éstas tienen en el crecimiento económico de las organizaciones, es decir, la entidad financiera al ser responsable del impacto generado a nivel económico, social y ambiental, genera confianza y una mejor imagen institucional, lo que conlleva a fortalecer la capacidad de generar riqueza.

 

Según el análisis de la herramienta aplicada, cuanto mayor es el nivel de RSC, más capital social fiduciario obtiene la organización. En este sentido los directivos de las COAC´S objeto de estudio, deben establecer métricas cuantitativas para conocer el impacto social y económico afín de establecer políticas de fomento a estas formas de organización, sin dejar de lado las estrategias planteadas en el estudio.

 

REFERENCIAS

Alianza Cooperativa Internacional. (2022). Cooperativas de las Américas - Principios y Valores Cooperativos. https://www.aciamericas.coop/Principios-y-Valores-Cooperativos-4456

 

Ayala del Pino, C. (2021). Responsabilidad Social Corporativa: concepto, ámbito de aplicación, grupos de interés y objetivos. Anuario Jurídico y Económico Escurialense, 54, 173–198. https://doi.org/10.54571/ajee.462

 

Barba-Bayas, D., y Gavilánez-Vega, M. (2016). Gestión social en las Cooperativas de Ahorro y Crédito de una provincia ecuatoriana. Revista Ciencia UNEMI, 9(19), 30–38. https://doi.org/10.29076/issn.2528-7737vol9iss19.2016pp30-38p

 

Becerra-Vicario, R., y Gómez, A. (2020). Responsabilidad social corporativa en las entidades financieras españolas. Revista Activos, 18(1), 39–75. https://doi.org/10.15332/25005278/6154

 

Bom-Camargo, Y. (2021). Hacia la responsabilidad social como estrategia de sostenibilidad en la gestión empresarial. Revista de Ciencias Sociales, XXVII(2), 130–146. https://doi.org/10.31876/rcs.v27i2.35903

 

Caja Central Financoop. (2019). Boletines Informativos – Financoop. https://financoop.net/boletinesfinancoop/

 

Cardoso, G. (2019). La economía popular y solidaria del Ecuador: fusión y liquidación de las cooperativas. Revista Internacional de Administración, 6, 189–202. https://revistas.uasb.edu.ec/index.php/eg/article/view/1307/1192

 

Castaño, A., y Arias, S. (2021). Efecto de la responsabilidad social corporativa en la reputación de las organizaciones: una revisión sistemática. Revista Universidad y Empresa 23(40). https://doi.org/10.12804/REVISTAS.UROSARIO.EDU.CO/EMPRESA/A.8859

 

Coba-Molina, E., Díaz-Córdova, J., Tapia-Panchi, E., y Sepúlveda, J. M. (2019). El rendimiento financiero explicado a través de los principios cooperativos. Un estudio en las cooperativas de ahorro y crédito del Ecuador. Contaduría y Administración, 64(4), 1–21. https://doi.org/10.22201/FCA.24488410E.2020.2448

 

González-Bustos, J., Narváez-Zurita, C., y Erazo-Álvarez, J. (2020). La gestión de responsabilidad social de las cooperativas de ahorro y crédito de la provincia del Azuay y su retorno financiero. Revista Científica Dominio de Las Ciencias, 6(1), 2020. https://redib.org/Record/oai_articulo2605559-la-gestión-de-responsabilidad-social-de-las-cooperativas-de-ahorro-y-crédito-de-la-provincia-del-azuay-y-su-retorno-financiero

 

Hernández Sampieri, R., y Mendoza Torres, C. P. (2018). Metodología de la investigación : las rutas cuantitativa, cualitativa y mixta

 

International Organization for Standardization -ISO- 9001(2015) Sistemas de gestión de la calidad — Requisitos. https://www.iso.org/obp/ui/#iso:std:iso:9001:ed-5:v1:es

 

Iturrioz, J., Masa, C., y Medina, A. (2019). La transparencia sobre Responsabilidad Social Corporativa y su implicación con el comportamiento económico-financiero: efectos en las empresas de Economía Social. Revista de Estudios Corporativos, 132, 122–143. https://doi.org/10.5209/REVE.65487

 

Ley Orgánica de Economía Popular y Solidaria - LOEPS- (2018). https://www.seps.gob.ec/wp-content/uploads/Ley-Organica-de-Economia-Popular-y-Solidaria.pdf

 

Montgomery, D. (2004). Diseño y análisis de experimentos (Editorial Limusa S.A).

 

Muyulema-Allaica, C. (2022). Responsabilidad Social Corporativa y el Desarrollo Económico del sector cooperativo segmento cuatro. https://repositorio.pucesa.edu.ec/bitstream/123456789/3431/1/77581.pdf

 

Pache-Durán, M., y Nevado-Gil, M. (2020). Responsabilidad social empresarial: información divulgada por las empresas del IBEX35. Responsabilidad Social Empresarial:Información Divulgada, 34(85). https://doi.org/10.22201/iibi.24488321xe.2020.85.58225

 

Pacompia, J., y Calderon, D. (2021). Responsabilidad social empresarial y calidad de servicio en una Caja Municipal de Ahorro y Crédito de la región Tacna. Revista de Divulgación Científica Sincretismo, 1(1). https://revistas.unam.edu.pe/index.php/sincretismo/article/view/39/63

 

Sánchez-Macías, R., Usca-Veloz, R., Pucha-Medina, P., Espinoza-Ruiz, G., Velasteguí-Bósquez, G. A., y Muyulema-Allaica, J. C. (2020). Las finanzas sostenibles. Retos actuales hacia el desarrollo del sector cooperativo popular y solidario ecuatoriano. Revista Internacional de Investigación e Innovación Tecnológica, 7(42). https://riiit.com.mx/apps/site/files/fs._paola_riiit_div._ene-feb_2020.pdf

 

Plan Nacional para el Buen Vivir 2017-2021 -Senplades- (2017). https://www.gobiernoelectronico.gob.ec/wp-content/uploads/downloads/2017/09/Plan-Nacional-para-el-Buen-Vivir-2017-2021.pdf

 

Zhang, J., Zhang, Y., & Sun, Y. (2022). Restart economy in a resilient way: The value of corporate social responsibility to firms in COVID-19. Finance Research Letters, 102683. https://doi.org/10.1016/j.frl.2022.102683