Volumen 8 / No. 20 / enero-abril 2025

https://revistaneque.org

ISSN: 2631-2883

 

 

 

 

 

 

 

Influencia del comercio justo en la calidad de vida en productores de cacao

 

Influence of fair trade on the quality of life of cocoa producers

 

Influência do comércio justo na qualidade de vida dos produtores de cacau

 

Carmen Lisseth Loor Velásquez

carmen.loor@espam.edu.ec

https://orcid.org/0009-0003-2294-4651

 

Naomy Lilibeth Solórzano Velásquez

naomy.solorzano@espam.edu.ec

https://orcid.org/0009-0006-7851-2008

 

Yessenia Johana Márquez Bravo

ymarquez@espam.edu.ec

https://orcid.org/0000-0001-5926-800X

 

Escuela Superior Politécnica Agropecuaria de Manabí Manuel Félix López. Manabí, Ecuador

 

Artículo recibido 30 de octubre 2024 | Aceptado 29 de noviembre 2024 | Publicado 28 de enero 2025

 

RESUMEN

El Comercio Justo busca equidad y mejora en la calidad de vida al reducir la brecha entre productores y consumidores. El objetivo del artículo es determinar la influencia entre el comercio justo y la calidad de vida de los productores de cacao de la Asociación Agrícola Quiroga en el cantón Bolívar, Ecuador. Se aplicó una metodología mixta, con enfoque descriptivo-correlacional y de campo. Para la recolección de información, se utilizaron como técnicas entrevistas y como instrumento encuestas. Para el análisis estadístico se aplicaron las pruebas de Kolmogorov-Smirnov y Spearman. Los hallazgos revelan deficiencias en la promoción del Comercio Justo, acciones ambientales, desarrollo integral, educación y beneficios, evidenciando una correlación positiva moderada de 0,3000 entre las variables de estudio, destacando la influencia significativa de la dimensión de Sustentabilidad Económica, Social y Ambiental. Se concluye que esta incidencia se explica por el impacto directo de las prácticas sostenibles, que fortalecen el crecimiento y bienestar en calidad de vida de los productores.

 

Palabras clave: Agrícola; Cacao; Calidad; Comercio; Justo; Vida; Productor

 

ABSTRACT

Fair Trade seeks equity and improved quality of life by reducing the gap between producers and consumers. The objective of the article is to determine the influence between fair trade and the quality of life of cocoa producers of the Quiroga Agricultural Association in the Bolívar canton, Ecuador. A mixed methodology was applied, with a descriptive-correlational and field approach. Interviews were used as techniques and surveys as instruments to collect information. The Kolmogorov-Smirnov and Spearman tests were applied for statistical analysis. The findings reveal deficiencies in the promotion of Fair Trade, environmental actions, integral development, education and benefits, evidencing a moderate positive correlation of 0.3000 between the study variables, highlighting the significant influence of the Economic, Social and Environmental Sustainability dimension. It is concluded that this incidence is explained by the direct impact of sustainable practices, which strengthen growth and well-being in the quality of life of producers.

 

Key words: Agricultural; Cocoa; Quality; Trade; Fair; Life; Producer

 

RESUMO

O Comércio Justo busca a equidade e a melhoria da qualidade de vida, reduzindo o fosso entre produtores e consumidores. O objetivo do artigo é determinar a influência entre o comércio justo e a qualidade de vida dos produtores de cacau da Associação Agrícola Quiroga, no cantão de Bolívar, Equador. Foi aplicada metodologia mista, com abordagem descritivo-correlacional e de campo. Para coletar informações, foram utilizadas entrevistas e pesquisas como técnicas. Para análise estatística foram aplicados os testes Kolmogorov-Smirnov e Spearman. Os achados revelam deficiências na promoção do Comércio Justo, nas ações ambientais, no desenvolvimento integral, na educação e nos benefícios, evidenciando uma correlação positiva moderada de 0,3000 entre as variáveis do estudo, destacando a influência significativa da dimensão Sustentabilidade Econômica, Social e Ambiental. Conclui-se que esta incidência é explicada pelo impacto direto de práticas sustentáveis, que fortalecem o crescimento e o bem-estar na qualidade de vida dos produtores.

 

Palavras-chave: Agrícola; Cacau; Qualidade; Troca; Justo; Vida; Produtor

 

INTRODUCCIÓN

 

El comercio justo ha emergido como una alternativa al comercio convencional, prometiendo condiciones más equitativas para los productores, especialmente en el Sur Global. En el caso del cacao, un cultivo de gran importancia económica y social para numerosas comunidades, el comercio justo ha sido presentado como una herramienta para mejorar la calidad de vida de los productores.

 

La desigualdad económica y social ha sido una preocupación central en el análisis de los sistemas comerciales globales, cuya afectación la reciben todos los actores de la cadena de suministro, especialmente los pequeños productores y trabajadores de países en desarrollo. De esta manera lo señalan Salas et al. (2021), al mencionar que, el comercio, desde una perspectiva tradicional y capitalista, ha sido identificado como uno de los principales impulsores de la creciente desigualdad y el empobrecimiento a nivel mundial, con deficiencias como los sobreprecios, la sobreexplotación laboral, la desigualdad, el control indiscriminado del mercado, y el impacto negativo al ambiente (Platas et al., 2022).

 

En respuesta a esta problemática, surge el Comercio Justo (CJ) con el objetivo de reducir la brecha entre los productores y consumidores, promoviendo relaciones comerciales basadas en la equidad y el respeto (López et al., 2019; Salas et al., 2021). El CJ destaca su capacidad para fortalecer las economías locales, asegurando que una mayor parte del valor generado llegue directamente a los productores, y se logre una mayor justicia social y económica. Desde sus inicios en Estados Unidos, en los años cuarenta y cincuenta, el CJ ha experimentado una evolución notable, pasando de ser una iniciativa aislada, a un conjunto de diez principios establecidos por la Organización Mundial del Comercio Justo, dedicados a promover prácticas económicas y sociales justas en el ámbito comercial (López et al., 2019).

 

A continuación, la Organización Mundial del Comercio Justo establece los 10 principios que las organizaciones de Comercio Justo deben seguir en su trabajo diario y cuyo cumplimiento han de asegurar:

 

Crear oportunidades para organizaciones productoras marginadas económicamente

 

Este principio está basado en la reducción de la pobreza a través del comercio, apoyar a los productores y trabajadores en situación de marginación económica. Estando en cooperativas, asociaciones o emprensas, como personal autónomo, informal o trabajando a domicilio. Con esto se les permite pasar de la inseguridad de los ingresos y la pobreza al empoderamiento social y económico.

 

Transparencia y responsabilidad

 

La organización es transparente en su gestión y relaciones comerciales. Rindiendo cuentas a todas las partes interesadas y respeta la sensibilidad y confidencialidad de la información comercial.

 

Prácticas comerciales justas

 

La organización comercializa busca el bienestar social, económico y medioambiental de las personas productoras y trabajadoras económicamente marginadas y no maximiza los beneficios a su costa. Este principio se rige por: Establecimiento de compromisos comerciales, pago y prefinanciación, cancelación y resolución de problemas, mantener relaciones comerciales a largo plazo, competencia leal, identidad cultural y respeto de los conocimientos tradicionales.

 

Pago justo

 

Es aquel que ha sido negociado y acordado mutuamente por todas las partes a través del diálogo y la participación continuos, que proporciona una remuneración justa a los productores y productoras, teniendo en cuenta el principio de igualdad de remuneración por igual trabajo de mujeres y hombres. El objetivo es el pago del salario mínimo vital establecido localmente. El pago justo se compone de precios justos, salarios justos y salarios dignos locales.

 

Garantizar la ausencia de trabajo infantil y de trabajo forzoso

 

La organización se adhiere a la Convención de la ONU sobre los Derechos del Niño y a la legislación nacional y local sobre el empleo de menores. De igual forma, la organización garantiza que no hay trabajo forzado ni trata de personas en su plantilla y/o por parte de quienes pertenecen a organizaciones productoras o de personal de trabajo a domicilio.

 

Compromiso con la no discriminación, equidad de género y el empoderamiento económico de las mujeres, y la libertad de asociación

 

La organización no discrimina en la contratación, la remuneración, el acceso a la formación, la promoción, el despido o la jubilación a ninguna persona por motivos de raza, casta, nacionalidad, religión, discapacidad, género, orientación sexual, pertenencia a un sindicato, afiliación política, situación en relación al VIH/SIDA o edad.

 

Garantizar buenas condiciones de trabajo

 

Proporcionando un entorno de trabajo seguro y saludable (horarios, condiciones de trabajo) para las personas trabajadoras y productoras. Cumple, como mínimo, las leyes nacionales y locales y los convenios de la OIT sobre salud y seguridad.

 

Favorecer el desarrollo de capacidades

 

La organización busca mejorar el desarrollo de las personas productoras y trabajadoras que se encuentran en una situación de marginación económica, a través del Comercio Justo. Esto se refiere al desarrollo de las habilidades y capacidades de su personal contratado y de las entidades productoras.

 

Promoción del Comercio Justo

 

La organización fomenta la concienciación sobre los objetivos del Comercio Justo y la necesidad de una mayor justicia en el comercio mundial. Defiende los objetivos y prácticas del Comercio Justo en su ámbito de actuación.

 

Acción climática y protección del medio ambiente

 

Para la organización es fundamental, el cuidado del medioambiente, es una parte esencial del Comercio Justo. Esto incluye el abastecimiento y la producción sostenibles, la minimización de los residuos, el embalaje y el transporte y, como aspecto más destacado, la ayuda a las para hacer frente a la crisis climática (Coordinadora Estatal del Comercio Justo, s/f)

 

Estos principios son importantes para que las organizaciones del CJ operen de manera efectiva (Muñiz et al., 2019), ya que constituyen la base principal en los esquemas de certificación que garantizan la equidad para los productores desfavorecidos y promueven condiciones laborales justas y respetuosas con el medio ambiente en toda la cadena de suministro (Guevara et al., 2024). Según López et al. (2019), los principios del CJ se encuentran alineados con los Objetivos del Desarrollo Sostenible (ODS) promovidos por la Organización de las Naciones Unidas (ONU), estos objetivos, como señala la ODS Territorio Ecuador (2019), han sido diseñados como parte de la Agenda 2030 con el propósito de generar prosperidad, establecer alianzas sólidas, erradicar la pobreza, proteger el medio ambiente y asegurar espacios seguros y de paz.

 

Sin embargo, la implementación de esta práctica comercial enfrenta desafíos, limitaciones y barreras importantes, cuya afectación se da especialmente en los pequeños productores por los altos costos de certificación, escasa conciencia pública y poca representación en la toma de decisiones, lo cual subraya la necesidad de abordar tanto los aspectos prácticos, como los factores estructurales del alcance y efectividad en esta nueva alternativa de comercio (Salas et al., 2021). En el caso de Ecuador, existen organizaciones que presentan debilidades en sus formas de producción, ya que no cuentan con métodos y formas de producción o cadenas productivas sistemáticas (Alcocer et al., 2020).

 

La calidad de vida, en el contexto de este estudio, se concibe como el nivel de bienestar subjetivo y objetivo que experimentan los productores de cacao, y abarca un conjunto de dimensiones interrelacionadas. Siguiendo el modelo de la Organización Mundial de la Salud (OMS), se considerarán aspectos físicos, como el estado de salud y el acceso a servicios básicos; psicológicos, como la satisfacción con la vida y el bienestar emocional; sociales, relacionados con las relaciones interpersonales y la participación comunitaria; y materiales, vinculados a los ingresos económicos y al acceso a bienes y servicios.

 

Desde esta perspectiva, se busca comprender de manera integral cómo el CJ incide en el bienestar de los productores, más allá de los aspectos puramente económicos. Se espera que el CJ, al garantizar precios justos, condiciones laborales dignas y oportunidades de desarrollo, contribuya a mejorar significativamente la calidad de vida de los productores de cacao, al permitirles satisfacer sus necesidades básicas, desarrollar sus capacidades y participar activamente en la vida de sus comunidades.

 

En el caso específico de los productores de cacao en Manabí, Ecuador, aunque existen estudios sobre su calidad de vida, se carece de evidencia clara sobre el impacto directo del CJ. La Asociación Agrícola Quiroga, miembro de la Corporación Fortaleza del Valle, ha adoptado el CJ desde 2007, pero no ha evaluado su influencia en la calidad de vida de sus asociados.

 

En el ámbito agrícola, esto implica la implementación de políticas efectivas que aborden la calidad de vida de los agricultores, considerada esta como el nivel de satisfacción en función de indicadores personales y laborales (Márquez, 2024). Dichas políticas pueden centrarse en programas de capacitación e investigación, así como el fomento del CJ para los pequeños productores (Echeverría et al., 2022). Ante esto, es esencial priorizar al agricultor como el primer eslabón de la cadena, mejorando su entorno para elevar su calidad de vida (García et al., 2021).

 

En la provincia de Manabí existen varios estudios sobre los agricultores asociados en la producción del cacao como los realizados por, Bermeo y Cabascango, (2022); Macias y Moreira, (2023); Medranda, (2023); Cusme et al., (2024), en los que se presentan hallazgos importantes de la calidad de vida de estos gremios a partir del estudio de la gestión social. Sin embargo, la literatura no evidencia resultados claros sobre la incidencia de las prácticas del CJ en la calidad de vida de los agricultores de cacao.

 

A partir de los antecedentes expuestos, varias organizaciones de la Economía Popular y Solidaria (EPS), aplican el CJ como un medio de mejorar las condiciones de comercialización de sus productos agrícolas, ya que el pequeño productor es el menos beneficiado en estas transacciones comerciales, es por esto que los productores agremiados a las asociaciones de la Corporación Fortaleza del Valle (CFV) del cantón Bolívar, específicamente la Asociación Agrícola Quiroga, ha fortalecido sus relaciones comerciales a través del Comercio Justo desde el año 2007 hasta la presente fecha, esta organización no ha realizado evaluaciones que determinen la influencia de esta práctica comercial en la calidad de vida de sus asociados.

 

En este contexto, el objetivo de la investigación se fundamenta en determinar la influencia entre el comercio justo y la calidad de vida de los productores de cacao de la Asociación Agrícola Quiroga en el cantón Bolívar, Ecuador. De esta manera, la importancia del estudio radica en establecer una línea base de información que contribuya a la toma de decisiones por parte de los directivos de estas organizaciones y genere mayor involucramiento de los asociados en su propio desarrollo comercial y mejores condiciones de vida.

 

 

MÉTODO

 

La investigación se desarrolló bajo un enfoque mixto, lo que permitió la recolección y el análisis de datos para el estudio de las variables. La modalidad empleada buscó detallar las implicaciones del Comercio Justo y la calidad de vida en los productores de cacao, además de analizar la relación existente entre estas variables. Las dimensiones de la calidad de vida exploradas en esta investigación incluyeron las siguientes dimensiones salud, educación, vivienda, trabajo e inclusión social.

 

Así mismo, la investigación de campo para la recolección de datos permitió verificar la veracidad de la información.

 

A continuación, se presenta la ruta metodológica de la investigación Figura 1.

 

Figura 1. Ruta metodológica de la investigación

 

Para examinar el impacto de CJ en la calidad de vida de los productores esta, se midió mediante fichas de inspección que evalúan aspectos como los principios ambientales y el trabajo infantil.

 

En cuanto al procesamiento y análisis de los datos cuantitativos obtenidos de las encuestas fueron codificados y analizados utilizando el software estadístico SPSS. Se realizaron pruebas de normalidad (Kolmogorov-Smirnov) para evaluar la distribución de las variables. Posteriormente, se empleó el coeficiente de correlación de Spearman para determinar la relación entre las variables de interés.

 

Por otro lado, los datos cualitativos obtenidos de las entrevistas fueron transcritos y codificados de manera temática, se identificaron categorías y temas recurrentes para comprender las percepciones y experiencias de los líderes de la asociación.

 


Tabla 1. Baremo para la interpretación de los resultados

Dimensión

Indicador

Escala Likert

Categorización

Interpretación

Vivienda

Acceso a servicios básicos en el hogar

1-5

1-2: Bajo; 3: Medio; 4-5: Alto

Refleja la disponibilidad de servicios esenciales como agua potable, electricidad, etc.

Vivienda

Satisfacción con el tipo de vivienda

1-5

1-2: Bajo; 3: Medio; 4-5: Alto

Indica el grado de conformidad con las características de la vivienda.

Vivienda

Acceso a internet y redes públicas

1-5

1-2: Bajo; 3: Medio; 4-5: Alto

Refleja la facilidad para acceder a tecnologías de la información y comunicación.

Vivienda

Acceso a infraestructuras de transporte

1-5

1-2: Bajo; 3: Medio; 4-5: Alto

Indica la disponibilidad y calidad de las vías de comunicación y transporte.

Trabajo

Estabilidad laboral

1-5

1-2: Baja; 3: Media; 4-5: Alta

Refleja la continuidad en el empleo y la seguridad laboral.

Trabajo

Suficiencia del ingreso para cubrir necesidades básicas

1-5

1-2: Insuficiente; 3: Suficiente; 4-5: Muy suficiente

Indica si el ingreso es adecuado para satisfacer las necesidades fundamentales.

Inclusión Social

Participación en actividades comunitarias

1-5

1-2: Baja; 3: Media; 4-5: Alta

Refleja el grado de involucramiento en actividades sociales y comunitarias.

Inclusión Social

Relaciones familiares

1-5

1-2: Dificultosas; 3: Satisfactorias; 4-5: Excelentes

Indica la calidad de las relaciones con familiares y amigos.

Inclusión Social

Beneficios percibidos de la participación en la asociación

1-5

1-2: Bajos; 3: Moderados; 4-5: Altos

Refleja la percepción de los beneficios obtenidos al pertenecer a la asociación.

Desarrollo Integral

Capacitación, transparencia, relaciones humanas y comerciales, planificación, preservación de la identidad cultural

1-5

1-2: Bajo; 3: Medio; 4-5: Alto

Refleja el nivel de desarrollo integral de los productores.

Sustentabilidad

Precio justo, igualdad de oportunidades entre géneros, prácticas solidarias, conservación ambiental

1-5

1-2: Bajo; 3: Medio; 4-5: Alto

Refleja la sostenibilidad económica, social y ambiental de las prácticas de producción.

Beneficios

Aceptación del producto, relaciones comerciales, condiciones de trabajo, sostenibilidad ambiental, mejoras en los cultivos

1-5

1-2: Bajos; 3: Moderados; 4-5: Altos

Refleja los beneficios obtenidos por los productores gracias al comercio justo.

Salud

Afiliación a seguridad social, mejora del estado de salud, acceso a servicios médicos

1-5

1-2: Bajo; 3: Medio; 4-5: Alto

Refleja el estado de salud y el acceso a servicios médicos de los productores.

Educación

Alfabetización, logro de objetivos educativos, deseo de seguir estudiando

1-5

1-2: Bajo; 3: Medio; 4-5: Alto

Refleja el nivel educativo y las aspiraciones educativas de los productores.


 

RESULTADOS Y DISCUSIÓN

 

Los resultados de esta investigación que se presentan a continuación, revelan un panorama complejo y multifacético de la calidad de vida de los productores de cacao involucrados en el comercio justo. Utilizando una metodología de enfoque mixto, la aplicación del análisis de los datos cualitativos y cuantitativos, se identifican tanto avances significativos como áreas de oportunidad en dimensiones clave como vivienda, trabajo, inclusión social, desarrollo integral y salud.

 

Los principios del CJ implementados por la CFV se examinaron inicialmente mediante la aplicación de una entrevista a su gerente y al presidente de la asociación, logrando determinar que, la planificación del Comercio Justo (CJ) es gestionada por el departamento de control interno de la corporación, aprobada anualmente por el directorio, presentada a la asamblea general de la asociación con la intervención de la corporación y certificada por FLOCERT.

 

En lo que respecta a la asignación de recursos, estos provienen tanto del premio del CJ como del presupuesto de la corporación. A pesar de los principales desafíos, como la complejidad de cumplir con las certificaciones y asegurar que los productos sean 100% orgánicos, el CJ continúa siendo una oportunidad competitiva, particularmente en mercados como Suiza.

 

Además, la corporación colabora con la Coordinadora Ecuatoriana del CJ, CLAC y redes de cacao, asegurando que los productos cumplan con los estándares del CJ, respaldados por auditorías y certificaciones. A través de controles internos anuales, se garantiza el cumplimiento de estos principios, complementados con capacitaciones a sus empleados. Por otro lado, el impacto de CJ en la calidad de vida de los productores se mide mediante fichas de inspección que evalúan aspectos como los principios ambientales y el trabajo infantil.  Seguidamente, en la Tabla 2, se exponen los resultados en relación a cada uno de los principios del CJ.


 

Tabla 2. Prácticas de comercio justo implementadas por la Corporación Fortaleza del Valle y Asociación Agrícola Quiroga, según la percepción de la gerente de la Corporación y al presidente de la Asociación Agrícola Quiroga.

Principios del Comercio Justo (CJ)

Creación de oportunidades para productores con desventajas económicas

Se ofrecen programas de fortalecimiento para pequeños productores y trabajadores mediante capacitaciones y controles, facilitados por personal contratado y proyectos de ONG.

No se logra el 100% de asistencia de los productores

Transparencia y responsabilidad

Se implementa un plan de desarrollo, con información accesible en plataformas internacionales para todos los actores de la cadena de suministro, y la posibilidad de que los productores soliciten información directamente.

Se realizan reuniones, comisiones de vigilancia, asambleas y auditorías.

Prácticas comerciales justas

Los precios se negocian con clientes para ofrecer pagos superiores al comercio tradicional

Los contratos anuales aseguran precios sostenibles, y se promueve la firma de contratos a largo plazo para dar estabilidad.

La imagen del CJ se promueve mediante entidades como CLAC y FLOCERT

Pago de un precio justo

Los precios se ajustan según evaluaciones de costos de producción por parte de coordinadoras de redes de cacao, siguiendo estándares internacionales.

Asegurar ausencia de trabajo infantil y trabajo forzoso

Las políticas y procedimientos sobre el trabajo infantil y forzoso se establecen en los estatutos internos, las cuales se refuerzan mediante capacitaciones y orientaciones.

Los reguladores aplican criterios de evaluación para abordar el trabajo forzoso en las cadenas de suministro.

Compromiso de no a la discriminación.

Se mantiene una comisión de género y juventud, con capacitación y auditorías para asegurar la no discriminación.

Asegurar buenas condiciones de trabajo

Se cumplen normas de seguridad y salud ocupacional a través de auditorías, evaluaciones en campo y capacitaciones.

Facilitar el desarrollo de capacidades

Se ofrecen capacitaciones y asistencia técnica, apoyadas por alianzas con ONGs e instituciones locales como MGAP y el Municipio.

Promoción del Comercio Justo

No se participa en campañas y actividades de incidencia política para fortalecer el CJ, ni se emprenden acciones para educar a los consumidores.

Acción climática y protección del medio ambiente

Se promueve la no deforestación y se apoya a los productores en prácticas agroforestales y la creación de abonos orgánicos, siguiendo el Reglamento de la UE sobre Productos Libres de Deforestación (EUDR).

No se tienen programas de reforestación específicos, pero se realiza control y supervisión en el área de producción, además de formar barreras vivas mediante capacitaciones.

No se utilizan criterios ambientales actuales para seleccionar empaques reciclables o biodegradables debido a altos costos, aunque anteriormente se implementaron.

Nota: Las respuestas reflejan la percepción de los entrevistados sobre la implementación de los principios de comercio justo en la asociación, y pueden no coincidir necesariamente con la realidad en el campo.


A partir de la respuesta de los líderes, en la Tabla 2, se destaca un esfuerzo por crear oportunidades y apoyo a los productores económicamente desfavorecidos, mediante capacitaciones y proyectos liderados por ONG y personal especializado. La transparencia y responsabilidad también se destacan con la accesibilidad a información clave en plataformas internacionales y la realización de auditorías periódicas. Además, la implementación de políticas para asegurar la ausencia de trabajo infantil y forzoso, y la promoción de buenas condiciones laborales a través de auditorías y normas de seguridad, refuerzan un entorno de trabajo justo. En cuanto al pago de un precio justo, se busca negociar con el cliente para garantizar ingresos justos, ofreciendo estabilidad mediante contratos a largo plazo.

 

No obstante, se identifican áreas de mejora en la asistencia de los productores a las capacitaciones, donde no se ha logrado una participación completa. Así mismo, la falta de involucramiento en campañas de sensibilización y educación del consumidor sobre CJ limita su visibilidad. A pesar del compromiso con prácticas sostenibles, la ausencia de programas específicos de reforestación y el uso limitado de empaques reciclables debido a los altos costos representan desafíos ambientales. Además, el trabajo en la no discriminación, aunque formalizado, podría beneficiarse de una mayor visibilidad y seguimiento.

 

A continuación, se presentan los resultados de la encuesta Figura 2, organizada en tres bloques: el primero, compuesto por cuatro preguntas generales; el segundo, con 20 preguntas destinadas a evaluar tres dimensiones del CJ:

 

Figura 2. Género, edad y nivel de formación de los productores de la Asociación Agrícola Quiroga

En la Figura 2 se muestra que, la mayoría de los productores agrícolas asociados son hombres (85%) mayores de 53 años (86%). El nivel educativo es limitado (84%), mayormente restringido a la educación primaria (84%), lo cual, según el Ministerio de Educación (2023) representa una alerta importante (54% de los resultados), debiendo mejorar sus acciones para incrementar el nivel de bachillerato, particularmente en el área rural.

 

Particularmente en el estudio de Macías y Moreira (2023), se atribuyen estos resultados a un contexto cultural, donde la labor agrícola es realizada en desigualdad de género, con bajos niveles de educación y por productores mayores a 36 años en su mayoría. De forma similar, Aguilar et al. (2021) señalan que el cultivo agrícola es principalmente realizado por hombres debido a sus responsabilidades familiares y al esfuerzo físico requerido, además, los productores suelen tener una educación básica y una baja preocupación por la formación académica, ya que las actividades del campo demandan tiempo completo y suelen iniciarse desde una edad temprana. A continuación, resultados para las dimensiones del CJ (X): Desarrollo Integral Visualizar Figura 3.

 

Figura 3. Resultados de la dimensión Desarrollo Integral del Comercio Justo.

Nota: X1 Desarrollo integral

 

Según se observa en la Figura 3, la mayoría de los indicadores en la dimensión Desarrollo Integral tienen una media alta (3), lo que sugiere que el Comercio Justo contribuye positivamente en áreas como capacitación, transparencia, relaciones humanas y comerciales, planificación y preservación de la identidad cultural. Sin embargo, los indicadores relacionados con la adquisición de bienes y unidades de transporte tienen una media baja (1), indicando que estos beneficios no son evidentes para todos los productores. A continuación, Figura 4, sustentabilidad económica, social y ambiental del CJ:

 

Figura 4. Resultados de la Sustentabilidad económica, social y ambiental del Comercio Justo

Nota: X2 Sustentabilidad Económica, Social y Ambiental

 

Conforme los datos ilustrados en la Figura 4, la dimensión Sustentabilidad económica, social y ambiental demuestra resultados positivos en la mayoría de los indicadores (media = 3), especialmente en cuanto al precio justo, igualdad de oportunidades entre géneros, prácticas solidarias y conservación ambiental. La media baja (1) en el indicador sobre el trabajo infantil sugiere una erradicación efectiva de esta práctica en la comunidad, lo cual es un resultado positivo en términos de sostenibilidad social. Visualizar, resultados de la dimensión Beneficios del CJ, Figura 5:

 

Figura 5. Resultados de la dimensión Beneficios del Comercio Justo.

Nota: X3 Beneficios

Tal como se evidencia en la Figura 5, los resultados en la dimensión Beneficios muestran una tendencia positiva (media = 3) en la aceptación del producto, relaciones comerciales, condiciones de trabajo, sostenibilidad ambiental y mejoras en los cultivos. Sin embargo, la media baja (1) en los indicadores sobre la compra de bienes y la inversión en estudios de los hijos sugiere que hay áreas donde el impacto del Comercio Justo no se ha logrado plenamente. Por su parte, el hecho de que no existan intermediarios indica un aspecto positivo del Comercio Justo en tu estudio, ya que se aplica la venta directa, siendo coherente con los principios del Comercio Justo, contribuyendo a una mayor equidad y transparencia en la cadena de suministro.

 

A continuación, se presentan los resultados por dimensión, salud de la Calidad de vida (Y), Figura 6:

 

Figura 6. Resultados de la dimensión Salud de la Calidad de Vida

Nota: Y1 Salud

 

En cuanto a la dimensión de salud, los resultados presentados en la Figura 6 muestran un panorama generalmente positivo, destacando la afiliación universal de los productores a entidades de seguridad social, con una media de 5. Además, los encuestados reportan una mejora en su estado de salud y el de sus familias desde que se unieron a la asociación, contando con acceso frecuente a centros de atención médica (media = 4). Por su parte, los problemas de salud que afectan significativamente la calidad de vida de los productores son poco frecuentes, con una media de 2. Este conjunto de resultados sugiere que la asociación ha tenido un impacto beneficioso en la salud de los productores, proporcionando un entorno que favorece tanto el acceso a servicios médicos como la estabilidad en términos de salud. En la Figura 7, resultados para Educación:

 

Figura 7. Resultados de la dimensión Educación de la Calidad de Vida.

Nota: Y2 Educación

 

Según la Figura 7, los hallazgos sobre la dimensión de educación revelan un panorama positivo en términos de alfabetización de los productores, con una media de 5 que indica un pleno conocimiento de lectura y escritura. Así mismo, aunque los encuestados a menudo reportan haber logrado sus objetivos en la vida estudiantil (media = 4), la falta de vinculación en actividades de aprendizaje y el nulo deseo de alcanzar un mayor nivel de educativo (media = 1) sugiere que podrían necesitar mayores incentivos y/o recursos educativos. A continuación, figura 8, para los resultados vivienda, de la calidad de vida:

 

Figura 8. Resultados de la dimensión Vivienda de la Calidad de Vida

Nota: Y3 Vivienda

 

Los resultados ilustrados en la Figura 8, sobre la dimensión Vivienda, indican que los productores tienen acceso constante a servicios básicos en sus hogares, mostrándose satisfechos con el tipo de vivienda en la que residen, así como con el acceso a internet y redes públicas (media = 5). Sin embargo, se observa un margen de mejora en cuanto al acceso a infraestructuras de transporte, ya que un porcentaje considerable de productores reporta un nivel medio de acceso a este servicio. (media = 4). Ver en la Figura 9, los resultados para la dimensión trabajo:

 

Figura 9. Resultados de la dimensión Trabajo de la Calidad de Vida.

Nota: Y4 Trabajo

Respecto a la dimensión Trabajo, la Figura 9 muestra que los productores están siempre empleados y reciben un salario suficiente para cubrir sus necesidades básicas, con una media de 5 en ambos aspectos. Estos resultados revelan una estabilidad laboral sólida y una remuneración adecuada desde una perspectiva personal de los productores. En la Figura 10, se muestran los resultados para inclusión social, de la calidad de vida:

 

Figura 10. Resultados de la dimensión Inclusión social de la Calidad de Vida.

Nota: Y5 Inclusión social

 

La Figura 10 revela que, en la dimensión de Inclusión Social, los productores se comprometen en la participación en actividades comunitarias (media = 4). Además, disfrutan de excelentes relaciones familiares, y perciben beneficios significativos de su participación en la asociación (media = 5). Los resultados expuestos indican una integración efectiva en la comunidad y un sólido soporte social para los productores.

 

Para determinar las correlaciones entre las variables del estudio, se aplicó previamente una prueba de normalidad para elegir el método estadístico adecuado. Dado que la población fue superior a 50, se utilizó la prueba de Kolmogorov-Smirnov, realizada con el software SPSS Tabla 3).

 

 

 

 

 

Tabla 3. Prueba de normalidad de Kolmogorov-Smirnov

Variables

Estadístico

gl

Sig.

X. Comercio Justo

0,331

132

0,000

Y. Calidad de Vida

0,217

132

0,000

 

El resultado mostró un valor de significancia menor a 0,05, lo que indica que los datos no siguen una distribución normal; en consecuencia, se optó por utilizar una prueba no paramétrica para las correlaciones, específicamente el Test de Spearman. Para la interpretación de las correlaciones, Roy et al. (2019) indica que se deben plantear las siguientes hipótesis:

 

Hipótesis nula (H0): r = 0, no existe correlación.

 

Hipótesis alternativa (Ha): r ≠ 0, existe correlación y está puede ser positiva o negativa.

 

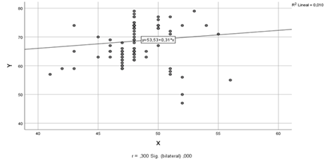
Se examinó la correlación entre las variables X. Comercio Justo y Y. Calidad de Vida, obteniendo un valor de r de 0,3000 con una significancia de 0,000 Figura 11. Esto indica la comprobación de la Ha, sobre la existencia de una correlación positiva moderada entre ambas variables, con una alta significancia estadística que refuerza la validez del hallazgo.

 

Figura 11. Correlación de Spearman entre las variables de estudio

 

Así mismo, se evaluó la correlación entre cada dimensión de las variables, revelando patrones de asociación que permiten comprender mejor las interacciones y el impacto que cada dimensión del Comercio Justo tiene en la calidad de vida de los productores. Tabla 4.


Tabla 4. Correlación de Spearman (rs) entre las dimensiones de las variables de estudio

 

Y. CALIDAD DE VIDA

Y1. Salud

Y2. Educación

Y3. Vivienda

Y5. Trabajo

Y4. Inclusión Social

X. COMERCIO JUSTO

X1. Desarrollo integral

rs

0,000

0,010

0,046

0,137

0,300**

Sig. (bilateral)

1,000

0,912

0,601

0,116

0,000

X2. Sustentabilidad económica, social y ambiental

rs

0,231**

0,224**

0,288**

0,385**

0,426**

Sig. (bilateral)

0,008

0,010

0,001

0,000

0,000

X3. Beneficios

rs

-0,001

-0,166

0,057

-0,205*

-0,069

Sig. (bilateral)

0,988

0,058

0,517

0,019

0,430

Número de casos procesados: 132

**. La correlación es significativa en el nivel 0,01 (bilateral).

*. La correlación es significativa en el nivel 0,05 (bilateral).

 


Los resultados de la correlación por dimensión revelan varias asociaciones significativas. Se encontró una correlación positiva moderada entre el Desarrollo Integral y la Inclusión Social, con un valor de rs de 0,300. La dimensión de Sustentabilidad Económica, Social y Ambiental muestra correlaciones positivas débiles con Salud (rs = 0,231), Educación (rs = 0,224) y Vivienda (rs = 0,288), y correlaciones positivas moderadas con Trabajo (rs = 0,385) e Inclusión Social (rs = 0,426). En contraste, la dimensión de Beneficios presenta una correlación negativa débil con Trabajo (rs = -0,223). Todos los resultados son estadísticamente significativos, con niveles menores a 0,01 para la mayoría de las correlaciones y a 0,05 para la correlación negativa con Beneficios.

 

Como se observa, no todas las correlaciones resultaron estadísticamente significativas, lo que indica que algunas dimensiones del Comercio Justo tienen una relación menos fuerte con ciertas áreas de la calidad de vida. Este hallazgo demuestra que el impacto del Comercio Justo puede variar según la dimensión considerada y que es necesario investigar a profundidad qué factores adicionales podrían estar influyendo en estas relaciones.  No obstante, es importante rescatar la incidencia significativa que tiene particularmente la dimensión de Sustentabilidad Económica, Social y Ambiental con todas las dimensiones de la Calidad de Vida, por lo que se podrían orientar las estrategias hacia una mejora integral.

 

Discusión

 

Los resultados manifiestan una aplicación efectiva de los principios del Comercio Justo por parte de la Corporación Fortaleza del Valle, percibidos de forma favorable por la Asociación Agrícola de Quiroga. No obstante, se evidencian debilidades en la participación de productores en capacitaciones, la promoción del Comercio Justo al consumidor, y la implementación de prácticas de sostenibilidad en el empaque. Estos hallazgos se asemejan a los expuestos en el estudio de García et al. (2021), destacando la necesidad de adoptar prácticas más justas. Además, la baja participación en capacitaciones se podría atribuir al escaso involucramiento de los jóvenes, dejando a los agricultores de edad avanzada como los principales participantes en estos programas (Garzozi et al., 2020).

 

La evaluación de las dimensiones del Comercio Justo permite determinar que, los productores enfrentan limitaciones significativas en su capacidad para adquirir unidades de transporte, bienes y servicios, y para invertir en la educación de sus hijos. Esta situación se establece debido a que, los precios de venta actuales, a menudo, no cubren los costos de producción, lo que limita las inversiones adicionales necesarias para mejorar las condiciones de vida de los productores (Aguilar et al, 2021). Por otro lado, el aumento de ingresos es una de las principales motivaciones para adoptar el Comercio Justo, ya que teóricamente debería incrementar el poder adquisitivo y, por ende, la calidad de vida de los productores, sin embargo, en la práctica no se evidencia tal incrementó de forma significativa (Caviedes y Olaya, 2020).

 

En términos de beneficios, los productores valoran positivamente la ausencia de intermediarios, lo que representa una ventaja clave para que la comercialización sea más equitativa y rentable (Aguilar et al., 2021; Soto, et al., 2022).

 

Por su parte, la evaluación de las dimensiones de calidad de vida muestra que la asociación ha tenido un impacto positivo en la salud, vivienda, trabajo e inclusión social de los productores. No obstante, en términos de educación se observa una falta de vinculación en actividades de aprendizaje, así como un desinterés por mejorar el nivel educativo. En contraste, la calidad de vida de los agricultores se ve mayormente afectada por temas de vivienda, educación e inclusión social (Macías y Moreira, 2023). Además, en términos de seguridad y condiciones de trabajo se identifican debilidades significativas (Rodríguez et al., 2022).

 

La investigación demuestra la existencia de una correlación positiva-moderada y significativa estadísticamente del Comercio Justo con la Calidad de Vida. Esta correlación se valida en otras investigaciones (López et al., 2019; Umbo, 2021), señalando al Comercio Justo como un modelo económico potencial para mejorar las condiciones de vida en el sector agrícola.

 

CONCLUSIONES

 

La comercialización de la producción en la Asociación Agrícola Quiroga se realiza de forma directa con la Corporación Fortaleza del Valle mediante la efectiva implementación de los principios del Comercio Justo, con el fin de fomentar un desarrollo integral y sustentable. A pesar de esto, la investigación determinó la existencia de áreas de mejora en cuanto al aprovechamiento de capacitaciones por parte de los productores, la promoción del Comercio Justo al consumidor, la implementación de prácticas sostenibles, y la capacidad de los productores para adquirir recursos esenciales, impactando la calidad de vida, particularmente en su desarrollo educativo.

 

La investigación demuestra una correlación estadística positiva entre el Comercio Justo y la Calidad de Vida de los productores asociados, destacando principalmente la incidencia de la sostenibilidad económica, social y ambiental con aspectos clave como el trabajo y la inclusión social. Este contexto pone en evidencia que una aplicación efectiva de los principios del Comercio Justo que contribuye significativamente a mejorar no solo las condiciones económicas, sino también la integración y el bienestar social de los productores.

 

CONFLICTO DE INTERESES.

 

Los autores declaran que no existe conflicto de intereses para la publicación del presente artículo científico.

 

REFERENCIAS

Aguilar, J., Avalos, V., Moncayo, Y. y Carrión, M. (2021). Comercio justo, una opción estratégica para mejorar el sistema de comercialización agrícola. Revista Investigación y Negocios, 14(23), 49-63. https://lc.cx/Ot5Fb3

Alcocer, E., Ayaviri, D. y Romero, M. (2020). Sistemas productivos locales en el comercio justo. Un estudio en el área rural del Ecuador. Revista Perspectivas, 23(46), 103-118. https://acortar.link/dy9Zpi

Bermeo, M. y Cabascango, K. (2022). Gestión social y buen vivir en grupo de productores registrados de la empresa privada Kaacao S.A. en la ciudad de Chone. Escuela Superior Politécnica Agropecuaria de Manabí, Manuel Félix López. https://lc.cx/Iq1kz3

Caviedes, D. y Olaya, A. (2020). Impacto ecológico, social y económico de fincas certificadas en buenas prácticas agrícolas y comercio justo. Cuadernos de Desarrollo Rural, 17. https://lc.cx/lH_uOE

Coordinadora Estatal del Comercio Justo (s.f) Los diez principios del Comercio Justo. https://lc.cx/X8Tuwa

Cusme, A., López, D., Montesdeoca, D. y Márquez, Y. (2024). Gestión social y la calidad de vida en asociaciones rurales. Revista Ñeque, 7(17), 9–24. https://lc.cx/Rwsr2W

Echeverría, M., Ortega, S. Obando, S y Marco, N. (2022): Scientific, Technical, and Social Challenges of Coffee Rural Production in Ecuador. Sustainable Agricultural Value Chain. https://lc.cx/4LFBTC

García, A., Pico, B. y Jaime. R. (2021). La cadena de producción del Cacao en Ecuador: Resiliencia en los diferentes actores de la producción. Novasinergia, 4(2), 152-172. https://lc.cx/xpaIIA

Garzozi, R., Garzozi, Y. y Solórzano, V. (2020). Experiencia de capacitaciones sobre el comercio justo y normas agrícolas en Santa Elena, Ecuador. Economía y Negocios UTE, 11(2), 13-26. https://lc.cx/q0a1h5

Guevara, G., Monge, K., Yánez, H., Guachamín, M y Flor, J. (2024). The impact of fair-trade certifications in social and solidarity economy organizations in Ecuador. Regional Science Policy & Practice, 16(9). https://lc.cx/PGL9wW

López, A. Cáceres, D., Galvis, H. y Carvajal, D. (2019). Comercio justo y las oportunidades que representa el modelo para el desarrollo cooperativo. Negonotas Docentes, (13), 45-53. https://lc.cx/vapYe6

Macias, G. y Moreira, A. (2023). Gestión social y su influencia en la calidad de vida de los miembros de la Asociación de Productores Agrícolas Montañita-Junín. Escuela Superior Politécnica Agropecuaria de Manabí, Manuel Félix López. https://lc.cx/ZGFUCP

Márquez, Y. (2024). Gestión social y calidad de vida: revisión de corrientes teóricas. Revista San Gregorio, 1(Especial_1), 120-132. https://lc.cx/HC4V9q

Medranda, A. (2023). Calidad de vida de los productores de cacao (Theobroma cacao L.) en el cantón El Carmen, Manabí. Universidad Laica Eloy Alfaro de Manabí. https://lc.cx/5Zf4b5

Ministerio de Educación. (2023). Estadística Educativa, volumen 4. https://lc.cx/jPqtfT

Muñiz, L., Vinueza, M y Ayón, G. (2019). El comercio justo como alternativa para desarrollar estrategias en beneficio de los productores. Dominio de las Ciencias, 5(3), 589-602. https://lc.cx/oQZ-WP

ODS Territorio Ecuador. (2019). Rol de los Gobiernos Locales en la implementación de los ODS. Boletín Informativo Panorama Sostenible. Tomo 6. Quito: ODS Territorio Ecuador. https://lc.cx/1unOsa

Platas, D., Gasperín, E., Zetina, P., Reta, J., Castillo, R., Escamilla, E., Fernández, C. y Vilaboa, J. (2022). Acierto y contradicciones del comercio justo: algunas reflexiones. Interciencia, 47(10), 466-473. https://lc.cx/iJ4Zpy

Rodríguez, Y., Rodríguez, W. y Peñarete, D. (2022). Evaluación de la calidad de vida en el trabajo en productores de café en Cundinamarca, Colombia. Ciencia y Tecnología Agropecuaria, 23(1). https://lc.cx/1NaXnJ

Roy, I., Rivas, R., Pérez, M. y Palacios, L. (2019). Correlación: no toda correlación implica causalidad. Revista Alergia México, 66(3), 354-360. https://lc.cx/e6_Z5a

Salas, E., Arguello, C. y Guapi, A. (2021). El comercio justo en el contexto del desarrollo sostenible. Visionario digital, 5(1), 36-51. https://lc.cx/64-8M8

Soto, N., Toscano, D., Jácome, G y Paz, C. (2022). Comercio justo de los pequeños agricultores de la asociación la Esmeralda del cantón Montalvo periodo 2021. Journal Of Science and Research, 7(2), 700-720. https://lc.cx/cu4BLT

Umbo, R. (2021). El comercio justo y la calidad de vida de las familias de la Asociación de Productores Agropecuarios LIMCOF Jaén, 2020. Universidad Cesar Vallejo. https://lc.cx/HYJXCB

 

Carmen Lisseth Loor Velásquez. Estudiante de la carrera de Administración de Empresas, Escuela Superior Politécnica Agropecuaria de Manabí Manuel Félix López. Investigador junior en proyectos de investigación institucionales, Ecuador

Naomy Lilibeth Solórzano Velásquez. Estudiante de la carrera de Administración de Empresas, Escuela Superior Politécnica Agropecuaria de Manabí Manuel Félix López. Investigador junior en proyectos de investigación institucionales, Ecuador

Yessenia Johana Márquez Bravo. Ingeniera Comercial en ESPAM MFL. Magíster en Gestión Empresarial, Universidad Técnica Particular de Loja. Doctorando del programa doctoral en Administración de Empresas, Universidad Andina Simón Bolívar, Bolivia. Investigadora acreditada en SENESCYT, ha colaborado y dirigido proyectos de investigación y vinculación, docente en ESPAM MFL. Directora de tesis de grado y posgrado. Publicación de artículos para revistas informativas y científicas además de ponencias nacionales e internacionales, Ecuador.